Tent Sizing Chart
DuPage Tents & Events
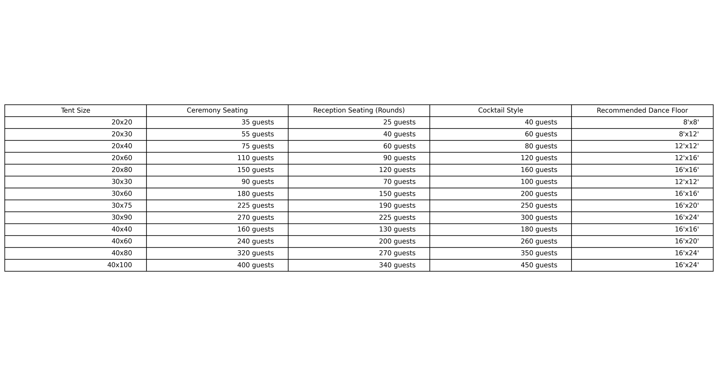
**Please note that these sizing capacities are estimated. The functional size of your rental will be dependent on the footprint and quantities of food tables, bars, dance floors, and tables styles. Contact us directly to make sure your tent rental order is 100% accurate.

